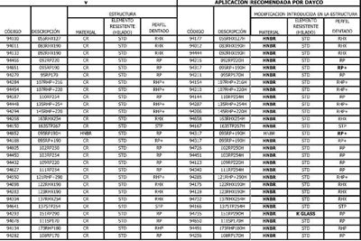
Habiendo tomado conocimiento de prácticas inadecuadas en la utilización de correas sincrónicas en el mercado latinoamericano y con la finalidad de asegurar la funcionalidad de las correas Dayco, nos permitimos indicar en la tabla siguiente la correa que recomendamos para determinados casos, en los que, el mercado latinoamericano, por usos y costumbres, está empleando equivocadamente:
![]()
NOTA: CR – CAUCHO DE POLICLOROPRENO HNBR – CAUCHO DE ACRILONITRILO HIDROGENADO
Como se puede apreciar en la tabla, los cambios introducidos sobre la estructura constitutiva de las correas recomendadas son tan significativos que nos inhibirían de hacer cualquier comentario, no obstante la presente circular técnica tiene como finalidad asistir técnicamente al cliente para transmitirle y actualizar sus conocimientos, es por ello que a continuación efectuaremos unos breves comentarios al respecto de las modificaciones introducidas en las estructuras:
MATERIAL: La formulación del compuesto de caucho empleado en la construcción de la correa depende directamente de la temperatura a la que trabajará la misma. Los antiguos motores de combustión interna presentan una temperatura nominal en el alojamiento del mismo de 80° C, mientras que los motores de última generación, por su mayor desarrollo tecnológico mantienen una temperatura nominal de 110°c. Por tal razón, Dayco ha desarrollado específicos compuestos de caucho conforme la temperatura de trabajo de los motores.
En la tabla siguiente se describen los compuestos que comercializa Dayco:

Dayco identifica sus correas con una letra “H” en el código descriptivo del producto para aplicaciones con temperatura de servicio de 110° C. Cuando en el código descriptivo de la correa no indique ninguna letra, nos estamos refiriendo a correas concebidas para trabajar en motores con una temperatura de servicio de 80° C. El empleo de una correa con material CR (temp. serv. 80° C) en lugar de una correa con material HNBR (temp. serv. 110° C) originará la degradación física de la misma, perdiendo las características elásticas y generando una falla prematura con la consiguiente rotura del motor.
HILADO:
El hilado o elemento resistente en una correa es el encargado de “transmitir” la potencia necesaria a los ejes correspondientes. Existen determinadas aplicaciones en motores que requieren un elemento resistente de mayores prestaciones en sus características físicas (carga y alargamiento de rotura) mayores que las habituales y por ende, de emplearse en estos casos una correa con un elemento resistente estándar se obtendrá como resultado una reducción en la vida dinámica de la correa con el consiguiente riesgo de rotura sobre el motor.
PERFIL DEL DENTADO:
Otra característica esencial sobre una correa sincrónica es el perfil de su dentado.
La geometría de los dientes en una correa obedece a una conjunción de específicas características que citaremos a continuación:
CAPACIDAD DE TRANSMISIÓN DE POTENCIA
RESISTENCIA AL “SALTO” DE DIENTE
RESISTENCIA A LA FATIGA POR CARGAS DINÁMICAS
ENGRANAMIENTO ADECUADO CON LOS VALLES DE LA POLEA
RUMOROSIDAD ADECUADA CON LA TRANSMISIÓN
RIGIDEZ ADECUADA PARA ASEGURAR LAS FASES DEL MOTOR
De emplearse una correa con perfil inadecuado para una aplicación, no se estarán atendiendo con las características citadas y ello puede provocar la rotura precoz de la correa y los consiguientes daños sobre el motor.
CONCLUSIÓN:
El empleo de una correa indebida en una aplicación siempre reduce la vida de funcionamiento de la misma poniendo en riesgo la integridad del motor. El común denominador ante el hecho de un motor roto es el balance económico que efectúa el cliente comparando el precio de la correa adecuada para la aplicación y el precio de la reparación del motor, contemplando el tiempo y las molestias ocasionadas.